Q. અર્થશાસ્ત્રમાં આકૃતિ અને આલેખોનું મહત્વ જણાવો .
- અભ્યાસને સરળ અને સ્પષ્ટ બનાવવા માટે.
- જુદાં જુદાં વર્ષોનાં વલણો દર્શાવવાં,
- વિવિધ ક્ષેત્રોમાં થતા ફેરફારો દર્શાવવા.
- વિવિધ પ્રદેશો તેમજ સમયગાળાની સરખામણી કરવા.
- સમય, શક્તિ તથા નાણાંની બચત.
- અર્થશાસ્ત્રના સિદ્ધાંતોની સરળ સમજૂતી માટે.
Q. આકૃતિઓ અને આલેખોદોરતી વખતે ધ્યાનમાં રાખવાની બાબતો જણાવો .
- પસંદગી અને રજૂઆત
- સ્પષ્ટતા
- સ્કેલમાપ
- બંને ધરી પરની વિગતો
- આંકડાકીય માહિતીનો સ્રોત
- આંકડાકીય માહિતી ગણવાની રીત
(1) ચિત્રાકૃતિ, (2) વિકિર્ણ આકૃતિ, (3) રેખા આકૃતિ, (4) વર્તુળ આકૃતિ, (5) સ્તંભ આકૃતિ અને (6) વૃતાંશ આકૃતિ
Q. સમય આધારીત રેખા આકૃતિ :
“સામાન્ય રીતે રેખા આકૃતિ બે ચલ વચ્ચેના સંબંધની રેખા તથા તેનો ઢાળ દર્શાવ છે.’’
આકૃતિના પ્રકારો વિશે સવિસ્તાર માહિતી આપો ? 5 (ગુણ)
આર્થિક ઘટનાઓની રજૂઆત કરતી વખતે જો માહિતી અસતત હોય ત્યારે તેને આકૃતિ દ્વારા વ્યક્ત કરવામાં આવે તો સામાન્ય પ્રજા તે સરળતાથી સમજી શકે છે. આપણા અભ્યાસક્રમ પ્રમાણે આવી આકૃતિઓની સમજૂતી નીચે પ્રમાણે છે :
આકૃતિનો અર્થ :
સામાન્ય રીતે અવલોકિત માહિતીનું ચિત્ર દ્વારા પ્રતિનિધિત્વ એટલે આકૃતિ.
બીજી રીતે કહીએ તો ‘કાર્યકારણનો સંબંધ ધરાવતાં ચલો વચ્ચેનો સંબંધ રેખાંકિત કરવામાં આવતાં જે ચિત્ર મળે તેને આકૃતિ કહે છે.'
અભ્યાસક્રમમાં સમાવિષ્ટ આકૃતિના પ્રકારો :
.png)
(1) સમય આધારિત રેખા - આકૃતિ :
અર્થ : બે ચલ વચ્ચેના સંબંધની રેખા અને ઢાળ દર્શાવતી આકૃતિ એટલે રેખા-આકૃતિ.
ઉ.દા , તુષ્ટિગુણ રેખા માંગ રેખા, પુરવઠારેખા, સીમાંત
આ પ્રકારની આકૃતિમાં સ્વતંત્ર ચલ 'x' ધરી પર અને પરતંત્ર ચલ 'y' ધરી પર દર્શાવાય છે.
સમયના સંદર્ભમાં (વર્ષ, માસ) જ્યારે કોઈ એક ચલનાં સ્વયંસ્પષ્ટ વલણો જાણવા હોય ત્યારે સમય આધારિત રેખા-આકૃતિનો વધુ ઉપયોગ થાય છે.
દા. ત., કોઈ એક દેશમાં (ભારતમાં) વિવિધ વર્ષોમાં વસ્તીની સંખ્યા, ફુગાવાનો દર, ઉત્પાદન, સાક્ષરતાનું પ્રમાણ, આયાત-નિકાસનું પ્રમાણ વગેરે દર્શાવવામાં આવે છે.
ઉદાહરણ : ભારતના વસ્તી વૃદ્ધિદરની માહિતી

અર્થ : કોઈ એક ચલના મૂલ્યની વિવિધ વિભાગો વચ્ચેની વહેંચણી એટલે સ્તંભ આકૃતિ. જેમાં દરેક વિભાગ માટે સમાન આધાર પર એક સ્તંભ દોરી સ્તંભની ઊંચાઈ પર મૂલ્ય દર્શાવાય તેવી આકૃતિ એટલે સ્તંભ આકૃતિ.
દા. ત., જુદા જુદા સમયે દેશમાં સાક્ષરતાનું પ્રમાણ.
會 સ્તંભો ઊભા કે આડા દર્શાવાય છે.
સ્તંભની ઊંચાઈ / લંબાઈ જે તે વિભાગ કે સમય માટે ચલનું મૂલ્ય દર્શાવે છે. તેના દ્વારા ચલના મૂલ્યની સરખામણી થઈ શકે છે.
會 સ્તંભ આકૃતિના ત્રણ પ્રકાર છે :
(A) સાદી સ્તંભ આકૃતિ :
અર્થ : કોઈ એક આધાર (પ્રદેશો, સમયગાળો) ઉપર કોઈ ચલનું મૂલ્ય દર્શાવતી આકૃતિ.
會 આ આકૃતિ દ્વારા વિવિધ પ્રદેશો, સમયગાળા વગેરે માટે ચલના મૂલ્યની સરખામણી આકર્ષક રીતે રજૂ કરી શકાય છે.
દા. ત., કોઈ એક દુકાનમાં દર બે મહિનામાં ચોકલેટ બોક્સનું વેચાણ

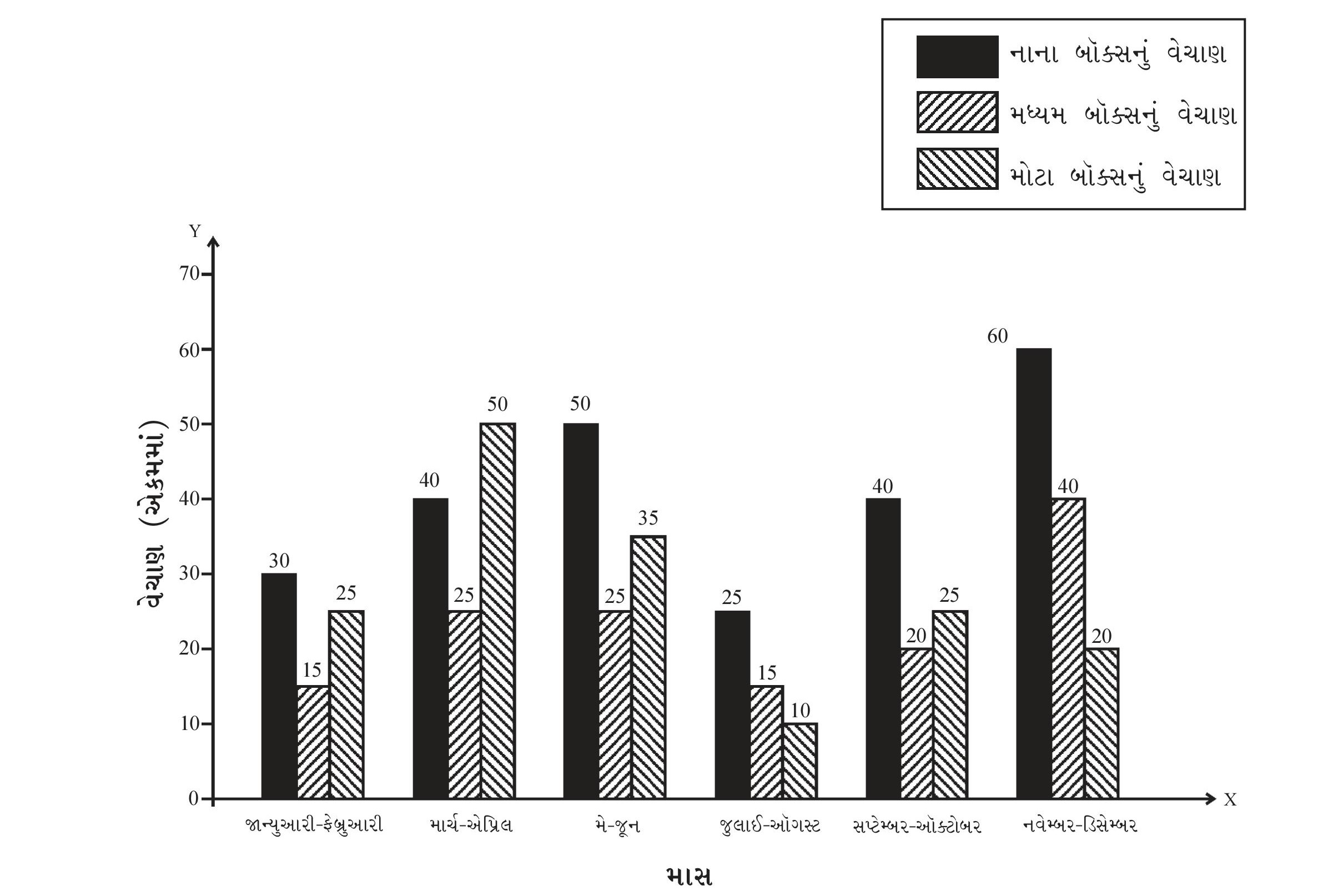
(B) પાસપાસેની સ્તંભ આકૃતિ :
અર્થ : કોઈ એક આધાર ઉપર કોઈ એક ચલનું એક કરતાં વધુ વર્ગો માટેનું મૂલ્ય દર્શાવતા જે જુદા જુદા સ્તંભો દોરવામાં આવે છે તેવી આકૃતિને પાસ- પાસેની સ્તંભ આકૃતિ કહે છે.
દા. ત., જાન્યુઆરી-ડિસેમ્બર એ આધાર હોય, ચોકલેટ બોક્સનું વેચાણ એ ચલ હોય અને નાના, મધ્યમ તથા મોટા બોક્સનું વર્ગીકરણ એ વર્ગ હોય તો જાન્યુઆરીથી ડિસેમ્બર દરમિયાન નાનાં, મધ્યમ અને મોટાં ચોકલેટ બોક્સનું કેટલા પ્રમાણમાં વેચાણ થયું તે જાણવા નીચેની આકૃતિ દોરાય છે.
આકૃતિને આકર્ષક બનાવવા માટે દરેક વર્ગના સ્તંભને અલગ-અલગ રંગ અથવા શેડથી દર્શાવવામાં આવે છે.
ઉદા. કોઈએક દુકાનમાં દર બે મહિનનામાં વિવિધ માપના ચોકલેટ બોક્સનું વેચાણ
.jpg)
.jpg)
(C) વિભાજિત સ્તંભ આકૃતિ :
અર્થ : જ્યારે દરેક સ્તંભના મૂલ્યને એકથી વધુ પેટા વિભાગોમાં વહેંચવામાં આવે ત્યારે બનતી આકૃતિ એટલે વિભાજિત સ્તંભ આકૃતિ.
સામાન્ય રીતે તુલનાત્મક અભ્યાસ માટે વિભાજિત સ્તંભ આકૃતિનો વધુ ઉપયોગ થાય છે.
સ્તંભના પેટા વિભાગોને અલગ-અલગ રંગ કે શેડથી આકર્ષિત કરવામાં આવે છે, અને તેમાં જે-તે આંક લખી દર્શાવવામાં આવે છે.
દા. ત., ભારતમાં ગ્રામીણ અને શહેરી વસ્તીનું ટકાવારી પ્રમાણ દર્શાવતી વિભાજિત સ્તંભ આકૃતિ
.jpg)
.jpg)
(3) વૃત્તાંશ આકૃતિ :
અર્થ : કુલ માહિતીના પેટાવિભાગોને વર્તુળના અંશના પ્રમાણમાં જ્યારે દોરવામાં આવે ત્યારે તેવી આકૃતિને વૃત્તાંશ આકૃતિ કહેવાય છે.
બીજી રીતે કહીએ તો ‘એક વર્તુળને એક સમષ્ટિ માની લેવામાં આવે અને માહિતીને વર્તુળના ભાગ પાડી દર્શાવવામાં આવે ત્યારે વૃત્તાંશ આકૃતિ બને છે.'
વર્તુળનું ક્ષેત્રફળ 360° હોવાથી ચલનું કુલ મૂલ્ય 360° દ્વારા દર્શાવવામાં આવે છે અને માહિતીના પ્રમાણના આધારે વૃત્તાંશ પાડીને પેટામૂલ્યો દર્શાવાય છે.
વૃત્તાંશ = પેટામૂલ્ય / કુલ મૂલ્ય x 360°



Q. સ્તંભ આકૃતિ દોરતી વખતે ધ્યાનમાં રાખવાની બાબતો :
- સ્તંભની પહોળાઈ સરખી હોવી જોઈએ.
- સ્તંભની ઊંચાઈ મૂલ્યને અનુરૂપ હોવી જોઈએ.
- સ્તંભની વચ્ચેનો ગાળો સરખો હોવો જોઈએ.
- સ્તંભ X ઘરી પર દોરવામાં આવે છે.
- સ્તંભ માહિતીના ક્રમમાં જ દોરવામાં આવે છે.
Q. વૃત્તાંશ આકૃતિ દોરતી વખતે ધ્યાનમાં રાખવાની બાબતો :
- કુલ વૃતાંશ 360 હોય.
- પેટાવિભાગના વૃત્તાંશનો સરવાળો 360 થાય.
- બે વૃત્તાંશ આકૃતિ બાજુ બાજુમાં સરબામણી માટે દોરવામાં આવે છે.
- સામયિક શ્રેણીના આલેખો
- સતત આવૃત્તિ-વિતરણના આલેખો,
- સ્તંભાલેખ,
આવૃત્તિ બહુકોણ
-
આવૃત્તિ વક્ર અને
-
સંચયી આવૃત્તિ બહુકોણ,
Q. અર્થશાસ્ત્રના અભ્યાસમાં ટેક્નોલોજીના ઉપયોગ અંગે સમજૂતી આપો ?
[A] કમ્પ્યૂટર ટેકનોલૉજી :
આપણે શાળામાં કમ્પ્યૂટરનો ઉપયોગ અવાર-નવાર કરીએ છીએ. હવે તો તમારા મોબાઈલ ફોન પણ કમ્યુટરનું કામ આપી શકે તેવા જોવા મળે છે.
(1) પ્રેઝન્ટેશન બનાવવા :
અર્થશાસ્ત્રના સિદ્ધાંતો કે અટપટી આંકડાકીય માહિતીને પાવર પોઈન્ટ પ્રેઝન્ટેશન દ્વારા ખૂબ જ સરળતાથી સમજી શકાય.
દા. ત., અંદાજપત્રનો પાઠ સમજવા માટે કે સમજાવવા માટે ત્રણ જ સ્લાઇડ બનાવીને આપણે સમજી કે સમજાવી શકીએ :
- એક સ્લાઇડમાં અંદાજપત્રનો અર્થ અને ખાતાંઓ,
- બીજી સ્લાઇડમાં અંદાજપત્રનાં ખાતાંઓની વિગતો અને
- ત્રીજી સ્લાઇડમાં આપણા દેશનું અંદાજપત્ર દર્શાવીને આખું પ્રકરણ સરળતાથી સમજી શકીએ અને ઝડપથી યાદ પણ રાખી શકીએ.
(2) એક્સલ વર્કશીટ :
અર્થશાસ્ત્રમાં મોટા પ્રમાણમાં આંકડાકીય માહિતીનો ઉપયોગ થાય છે.
- સંશોધન કરતાં નિષ્ણાતો અત્યંત મોટા પ્રમાણની આંકડાકીય માહિતીની ચકાસણી કરે છે. જેમ કે જ્યારે આપણે ભારતમાં નાના પાયાના ઉદ્યોગો દ્વારા ઉત્પન્ન થતી ચીજવસ્તુઓની માહિતી મેળવવાના પ્રયાસો કરીએ છીએ ત્યારે આપણને અસંખ્ય ચીજવસ્તુઓનાં ઉદાહરણો મળે.
- આવી માહિતી કમ્પ્યૂટર પ્રોગ્રામની એક્સલ શીટમાં મૂકીને તેના સરવાળા, સરેરાશ, સહસંબંધ વિશેનાં આંક/મૂલ્યો મિનિટોમાં મેળવી શકીએ. એક્સલ શીટ એ આંકડાકીય માહિતીને પ્રોસેસ કરવા માટેનો પ્રોગ્રામ છે. મેળવેલી માહિતી માટે વિવિધ પ્રકારની આકૃતિઓ પણ એક્સલ શીટમાં સહેલાઈથી દોરી શકાય છે.
(3) આકૃતિ અને આલેખ દોરવા માટેનાં પ્રોગ્રામો :
કમ્પ્યૂટર ટેક્નોલોજીમાં અનેક પ્રોગ્રામો છે જેમના વડે અર્થશાસ્ત્રની વિવિધ આકૃતિ કે આલેખો દોરી શકાય.
- સામાન્ય word ફાઇલમાં પુરવઠા અને માંગરેખા જેવી સરળ આકૃતિઓ દોરી શકાય છે.
- એક્સલ શીટ દ્વારા આંકડાકીય માહિતી માટે આકૃતિ અને આલેખો સચોટ માપ પ્રમાણે દોરી શકાય છે. પરંતુ આ માટે આપણને કયા પ્રકારની આકૃતિ જોઈએ છે અને તેને માટે કઈ ફોર્મ્યુલા વપરાય છે તેની જાણકારી હોવી જોઇએ.
(4) અભ્યાસ સામગ્રી સાચવવા માટે :
=> અર્થશાસ્ત્રના અભ્યાસ માટે અસંખ્ય શૈક્ષણિક સાધન – સામગ્રીની જરૂર પડે છે. આથી તેને સાચવવી અતિ આવશ્યક છે.
=> આ સામગ્રીને કમ્પ્યૂટરમાં સાચવી શકીએ ઉપરાંત હાર્ડડિસ્ક કે પેન ડ્રાઈવમાં તેને સાચવી રખાય છે.
=> Drop-Box, Google Drive, Digi- Locker વગેરે વ્યવસ્થા પણ ઉપલબ્ધ છે.
(5) અન્ય સાધનો :
=> આંકડાશાસ્ત્રનાં એડવાન્સ પ્રોગ્રામ જેવાં કે SPSS, SHAZAM, e - viewss, SAS વગેરે અસંખ્ય માહિતી માટે આંકડાકીય ગણતરીઓ કરે છે.
કમ્પ્યૂટરના ઉપયોગનાં ભયસ્થાનો :
- કમ્પ્યૂટર એક યંત્રસાધન છે તે અભ્યાસની પ્રક્રિયા સરળ બનાવે છે પણ તેનો ઉપયોગ જ્ઞાન કે અભ્યાસની અવેજીમાં કરી શકાય નહીં.
- આપણને કમ્પ્યૂટરના પ્રોગ્રામની જાણકારી ન હોય તો ખોટી આકૃતિ કે આલેખ, ખોટી સરેરાશ આપણને મુશ્કેલીમાં મૂકી શકે છે.
- ઘણી વખતે મટીરિયલ જો કમ્પ્યૂટરમાં યોગ્ય જગ્યાએ મૂકવામાં ના આવ્યું હોય તો ડિલીટ થઈ શકે છે.
- કમ્પ્યૂટરમાં પડેલી માહિતી સરળતાથી ચોરાઈ જવાની શક્યતા રહે છે.
- કમ્પ્યૂટર સિસ્ટમ ક્રેશ થાય તો તેમાં રહેલી તમામ માહિતી નાશ પામે છે.
[B] ઈન્ટરનેટ ટેકનોલોજી :
(1) ટ્યુટોરિયલ : કેટલીક વેબસાઈટ પર આપણા વિષયના પાવર પૉઇન્ટ પ્રેઝન્ટેશન વાંચવા લાયક સામગ્રી વગેરે Open access link માં મુકવામાં આવે છે.
(2) ત્વરીત શિક્ષણ કે જાણકારી : કેટલીક સંસ્થાઓ નિષ્ણાંતોના ભાષણો, ભાષણોનાં વિડિયો વગેરે Open access link પર મૂકે છે અને તે વર્ગ ખંડમાં ઉપયોગ કરી શકાય છે.
(3) વાંચવા લાયક સામગ્રી: અસંખ્ય પુસ્તકો ઇન્ટરનેટ પર વિના મૂલ્યે વાંચવા મળે છે. ઉપરાંત જે તે વિષયના નિષ્ણાંતોના લેખો, જર્નલો વગેરે પણ વાંચવા મળે છે.
(4) આંકડાકીય માહિતી : અર્થશાસ્ત્રમાં અનેક પ્રકારની ગૌણ માહિતીનો ઉપયોગ કરવામાં આવે છે. જેમ કે રાજ્યના બજેટની માહિતી, બેન્કિંગ અંગેની માહિતી, આયાત અને નિકાસનું કદ, ગરીબીનું પ્રમાણ, રોજગારીનું પ્રમાણ આ બધી માહિતી વેબસાઈટ પર ઉપલબ્ધ બને છે. C.S.O, N.S.S.O, WHO, UNO, CMIE, ILO, IMF વગેરે વેબસાઈટનો ઉપયોગ થાય છે.
[C] કમ્પેકટ ડિસ્ક (CD) :
=> સંસ્થાઓ પ્રયોગશાળાો સંશોધન કેન્દ્રો, સંરકારી સંસ્થાઓ વગેરે જ સમગ્ર અર્થતંત્રની માહિતી મેળવીને આંકડાકીય વિગતોનો અહેવાલ તૈયાર કરે છે તેવી સંસ્થાઓ અધિકૃત આંકડાઓની CD બજારમાં વેચવા મૂકે છે જેને શૈક્ષણિક સંસ્થાઓ, સંશોધન સંસ્થાઓ વગેરે તેને ખરીદે છે.
ઇન્ટરનેટના ઉપયોગનાં ભયસ્થાનો :
- ઇન્ટરનેટ પણ એક સાધન છે તે આપણી તર્કશક્તિ કે વિચારશક્તિનું સ્થાન લઈ શકે નહિ.
- ઇન્ટરનેટ પર અનેક પ્રકારની ખોટી, અપ્રસ્તુત, ભ્રામક, નકલ કરેલી માહિતી ઉપલબ્ધ હોય છે.
- વાંચકે ખોટી, ભ્રામક માહિતીથી દૂર રહેવું જોઈએ.
- સાચી અને ખોટી માહિતી અલગ પાડવાનો તર્ક વાપરવો પડે છે.
- જો કોઇ માહિતી વિશ્વસનીય વેબસાઇટ ઉપરથી લેવામાં ન આવે તો ગેરમાર્ગે દોરવાઈ જવાય છે.
Q. અર્થશાસ્ત્રના અભ્યાસમાં કોમ્પેક્ટ ડિસ્ક (CD)નો ઉપયોગ :
- પ્રયોગશાળાઓ, સંશોધનકેન્દ્રો, સરકારી સંસ્થાઓ આંકડાઓની CD બજારમાં વેચવા મૂકે છે.
- રાષ્ટ્રીય આવકની ગણતરીની CD
- વસ્તી-ગણતરીના આંકડાની CD
- ઉદ્યોગોના સર્વેની CD
- N.S.S.O. ની CD
- CMIE દ્વારા વેચવામાં આવતી CD
કૉમ્પેક્ટ ડિસ્ક ( CD ) વાપરવાની મુશ્કેલીઓ :
- આંકડાઓ શોધવાનું કાર્ય ખૂબ જ મુશ્કેલ.
- સોફ્ટવેરના ઉપયોગની જાણકારી જરૂરી.